What Are You Looking For?
Cycloastragenol, a potent triterpenoid from Astragalus membranaceus, is clinically studied for telomerase activation, anti-aging, and immune modulation. Our vertically integrated process delivers HPLC-verified purity (50%-98%), backed by ISO-certified quality control. Ideal for nutraceuticals targeting cellular longevity, cosmeceuticals for skin resilience, and pharmaceutical R&D. Request your sample today!
Product Name :
CycloastragenolCAS No. :
78574-94-4Appearance :
Fine white powderSpecification :
50%-98%Cycloastragenol (50-98% HPLC) - Premium Astragalus Extract for Anti-Aging & Immune Support
CAS No.:78574-94-4/84605-18-5
Molecular Formula:C30H50O5
Molecular Weight:490.71
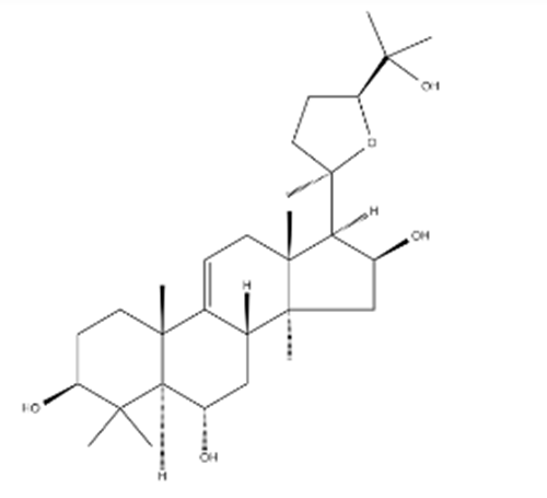
Molecular structure:
? High-Purity Bioactive Compound
98% HPLC-verified Cycloastragenol from Astragalus membranaceus roots, optimized for efficacy.
? Multi-Industry Applications
Nutraceuticals (anti-aging, immunity), Cosmeceuticals (skin rejuvenation), Pharma (R&D for chronic diseases).
? Global Compliance
ISO9001 certified. Heavy metals, pesticides & microbial limits meet USP/EP standards.
|
Parameter |
Detail |
|
Purity |
50% - 98% (HPLC-DAD/ELSD verified) |
|
Synergistic Compounds |
Astragaloside IV, Polysaccharides |
|
Identification |
Mass Spectrometry, NMR |
|
Stability |
24 months* (cool/dry, protected from light) |
|
Packaging |
20mg-1kg (aluminum foil), 25kg fiber drums, custom solutions |
?? R&D Excellence
15+ years in plant extraction, with custom formulations (ratios, concentrations, blends).
?? Sustainable Sourcing
Ethically harvested Astragalus roots from controlled cultivations.
?? End-to-End Control
Vertical integration from raw material to purified product (cost-efficient & batch-traceable).
Free Samples (Small orders available)
Full Documentation:
·
COA (Certificate of Analysis)
MSDS (Material Safety Data Sheet)
Regulatory support (OEM/ODM)
·
Technical Consultation: Application-specific formulation support